11) How are the specific rotations of pure liquids and pure solids defined?
Ans:
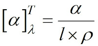
For pure liquids:
In this equation, l is the path length in decimeters, and ρ is the density of the liquid in g/mL, for a sample at a temperature T (in degrees Celsius) and wavelength λ (in nanometers).
For pure solids:
The specific rotation of a solid is defined as the optical rotation in degrees produced by a 1 mm thickness of the solid. For a compound in solution the specific rotation [α] is given by
where α is the measured rotation in degrees, d the path length of the solution in mm and c the concentration in g/100 cm3.


No comments:
Post a Comment